
鋰電池的性能直接決定了電子設備、電動工具、儲能系統以及各類移動設備的運行質量。而鋰電池放電曲線與充電曲線,是判斷電池能力、健康狀況、效率與循環壽命的關鍵依據。通過分析這些曲線,可以直觀了解電池在不同工況下的電壓、電流與容量變化,從而精確評估電池性能。
本文將用最清晰的方式帶你全面理解:
? 鋰電池放電曲線是什么
? 如何分析放電曲線的穩定性、容量與內阻
? 哪些因素會影響放電曲線
? 鋰電池充電曲線包含哪些階段
? 如何通過曲線評估充電效率與終止電壓
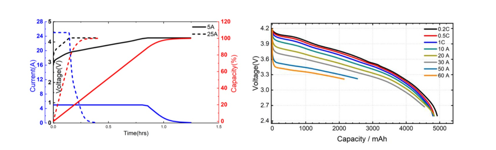
鋰電池在放電過程中,電壓會隨時間、容量、SOC 或 DOD 不斷變化。以電壓為縱軸,以時間或容量為橫軸繪制出的圖線,就是鋰電池放電曲線。
常見放電曲線包括:
電壓-時間曲線
電壓-容量曲線(比容量曲線)
電壓-能量曲線(比能量曲線)
電壓-SOC 曲線
電流-時間曲線
電壓下降緩慢
平臺區更長
可用容量更高
電壓明顯更快下跌
容量看似下降
內阻與極化效應更明顯
這些差異讓放電曲線成為判斷電池負載能力的關鍵工具。
分析放電曲線時主要關注斜率、電壓平臺、容量以及內阻變化。
平坦的放電曲線表示:
電池電壓穩定
輸出能量穩定
電池結構健康
平臺區越長,說明電池在大部分放電階段都能維持良好電壓。
放電曲線下的面積可反映電池的可輸出容量。
面積越大 → 電池可用容量越高 → 續航越好。
內阻越大:
電壓下降越快
放電平臺越低
輸出功率下降
內阻升高是電池老化的重要標志,因此放電曲線是評估 SOH(健康狀態)的關鍵工具。
比較不同倍率下的曲線,可評估電池:
實際容量
快速放電能力
內阻與極化程度
這對于電動車、電動工具與儲能應用尤為重要。
若多次循環后的曲線仍保持穩定,說明:
電池壽命良好
結構無明顯劣化
容量衰減較小
反之:
平臺下沉
容量減少
電壓下降更快
說明電池正在逐步老化。
影響放電曲線的因素很多,主要包括:
LiFePO4:平臺最平穩
LiCoO2:能量密度高但平臺較陡
LiMn2O4:中等水平
SOC 越高 → 起始電壓越高。
倍率越高 → 電壓下降越快。
低溫 → 內阻變大 → 曲線變扁
高溫 → 性能提升但加速老化
老化會導致:
內阻增大
容量降低
放電平臺變短
恒流負載:曲線規律
恒功率負載:電壓下降更快
變化負載:曲線不穩定
阻抗越高 → 電壓越容易下跌。
影響離子遷移速率,從而影響電壓平臺。
串/并聯方式也會影響整體放電曲線。
鋰電池充電曲線展示電壓與電流在充電過程中的變化,通常包含三個階段:
以恒定電流快速充電
電壓持續上升
屬于充電最快的階段
電壓達到閾值(如 4.2V)
電壓保持不變
電流逐漸下降
電池實際容量逐步接近 100%
低電流補償自放電
保持電池滿電狀態
比較輸入能量與實際儲存能量,可判斷效率。
效率越高:
熱量越少
電池壽命越長
終止電壓設置過高 → 容易過充,導致:
電池壽命下降
可能造成安全風險
合理設置終止電壓,才能保證安全與穩定。
Q: 典型的鋰電池放電曲線是什么樣的?
A: 前期為穩定的電壓平臺,隨后逐漸下降,接近終止電壓時會急劇下跌。
Q: 放電倍率如何影響曲線?
倍率越高 → 電壓下降越快 → 平臺越短。
Q: 為什么接近放空時電壓會快速降低?
因為內部阻抗增大,電池反應動力不足。
Q: 溫度會影響放電曲線嗎?
會。低溫時內阻增大,使曲線更不穩定。
Q: 如何通過放電曲線延長電池壽命?
避免深度放電、避免高倍率放電、注意溫度管理。
發布時間: 2025-11-21 09:35:59 >>資訊列表
本網站所發布文章,均來自于互聯網,不代表本站觀點,如有侵權,請聯系刪除